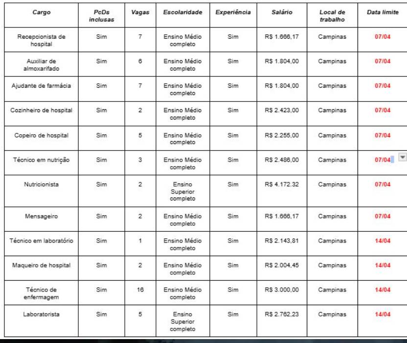
Hoje (27), o PAT Hortolândia anuncia 39 vagas de emprego. Portanto, caso tenha as características e requisitos necessários para as funções, inscreva-se e boa sorte.
Lembrando que o PAT funciona das 8h às 16h30, de segunda a sexta-feira e está localizada na Rua Argolino de Moraes, 405, na Vila São Francisco.
Não se esqueça de levar consigo a Carteira de Trabalho (digital ou impressa), Carteira de Identidade e CPF (Cadastro de Pessoa Física). Para agilizar o atendimento, recomenda-se apresentar currículo e comprovante de residência atualizado.
Além disso, os interessados podem ainda se inscrever ou pelo aplicativo do Sine Fácil (Sistema Nacional de Emprego), ou pelo site Emprega Brasil, do Ministério do Trabalho e Previdência do Brasil.
Confira todas as vagas de emprego anunciadas no PAT Hortolândia

Observação: Dependendo do dia que estiver vendo está postagem a vaga poderá não estar mais disponível.
Conferir mais vagas de emprego
Para mais notícias, eventos e empregos, siga-nos no Google News (clique aqui) e fique informado
Lei Proibida a reprodução total ou parcial, sem autorização previa do Portal Hortolandia . Lei nº 9610/98








